Šefket Arslanagić
University of Sarajevo
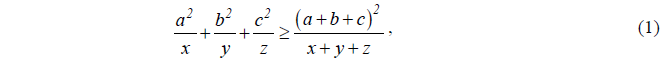
Abstract. The paper consider the following algebraic inequality
where x, y, z are positive numbers and
Some generalizations are proposed and examples of application are discussed.
Keywords: algebraic inequality, inequality of Cauchy-Bunyakovski-Schwarz, generalization, application
>> Download the article as a PDF file <<


